
数学
79关注 | 6235内容
著名数学天才,陶哲轩的儿子变性了
A站陶哲轩相关视频:AC4841701AC47936585
谁辅导孩子谁疯~~
都不理解怎么才小学的学习就不理想~数学有那么难吗有辅导孩子不疯的吗~~~~
让我康康Acer的实力260210
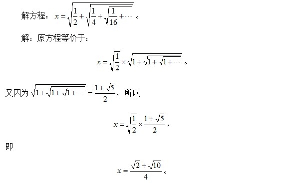
源:ac48261242,个人难易度2/5



数学禁术

164次播放 | 00:23让我康康Acer的实力260109
求所有满足存在与其数字打乱后得到的另一个三位数之比恰好等于其某两位之比的三位正整数遍历的请给出编程语言以及代码
笛卡尔心形曲线

363次播放 | 00:18




























正在加载



