不定积分

1关注 | 22内容

关注
热门排序
  • 一道定积分题目(2020.2.21)

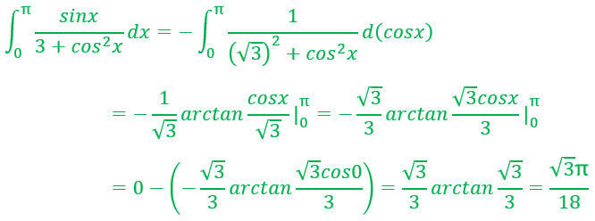
    前言:前几天群里有人发了一道题目,这个定积分题目难度还可以,今天分享给大家以供参考,题目及其解析如下正文:1.题目2.分析①对于这个题,第一步应该都能想到,看到分母有sin²x与cos²x的和,应该立

    共9张
    分享
    29
    79
  • 【不定积分公式推导】第42集——∫x²√(x²+a²)dx

    1102次播放 | 49:28
    分享
    4
    45
  • 想对你们说一些话

    我办这个微信公众号的初心就是想把自己在学习的过程中,所整理出来的笔记,干货搬到这里,让更多的人少走弯路,降低学习的成本因为书这个媒介,不一定什么时候就弄丢了,而且没有互联网这个平台传播速度快在这回答一

    分享
    10
    30
  • 【不定积分公式推导】第33集——∫x/√(x²+a²)dx

    1057次播放 | 11:19
    分享
    2
    40
  • 【不定积分公式推导】第32集——∫1/√(x²+a²)³dx

    1058次播放 | 09:55
    分享
    评论
    42
  • 【不定积分公式推导】第31集——∫1/√(x²+a²)dx

    1245次播放 | 19:48
    分享
    评论
    37
  • 【不定积分公式推导】第41集——∫x√(x²+a²)dx

    1023次播放 | 05:38
    分享
    评论
    31
  • 【不定积分公式推导】第40集——∫√(x²+a²)^3dx

    799次播放 | 52:52
    分享
    评论
    30
  • 【不定积分公式推导】第39集——∫√(x²+a²)dx

    1048次播放 | 40:41
    分享
    2
    25
  • 【不定积分公式推导】第37集——∫1/x√(x²+a²)dx

    1026次播放 | 16:29
    分享
    评论
    25
  • 【不定积分公式推导】第38集——∫1/x²√(x²+a²)dx

    864次播放 | 14:34
    分享
    评论
    25
  • 【不定积分公式推导】第29集——∫1/(ax²+b+c)dx

    828次播放 | 44:01
    分享
    评论
    25
  • 【不定积分公式推导】第30集——∫x/(ax²+b+c)dx

    907次播放 | 12:39
    分享
    评论
    22
  • 【不定积分公式推导】第34集——∫x/√(x²+a²)³dx

    506次播放 | 09:02
    分享
    1
    20
  • 旧文新发--不定积分公式推导

    前言:我刚刚初创这个公众号的时候,发了两篇到现在都蛮火的文章由于当时我的排版水平有限,用的记事本排的版效果不是很好之后的文章我大多都会用word来做word的效果比记事本的效果好看多了今天的文章,是把

    共20张
    分享
    评论
    20
  • 正在加载

    APP内打开

    取消
    继续
    立即领取