
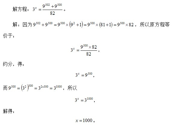
解方程
0关注 | 17内容










【初二数学】解方程2 | 一元二次方程 | 二元二次方程 | 八年级数学 | 致学教育在线课堂

1366次播放 | 38:13胖博士奥数课堂列方程解应用题与计算综合作业讲评

104次播放 | 01:02:43
要想方程解的号,一定学会看整体!

73次播放 | 01:07胖博士奥数课堂复杂应用题串讲,高年级同学的福音

144次播放 | 01:03:49想要提升打野就来跟我学王者荣耀就像数学题一样,对面打野的思路就是方程,学会解方程就能对位压制打...

42次播放 | 03:17小数趣味数学加分题,多次买卖的盈亏问题,怎么快速解决?

147次播放 | 01:15胖博士奥数课堂列方程解应用题,掌握了解方程,99%的应用题都搞定

69次播放 | 45:42五年级易错题,带括号的方程掌握好方法。不易出错

107次播放 | 01:19正在加载



